Borang Kenaikan Pangkat Dg41 Ke Dg44 2017 - Kategori 1a borang penilaian tahap kecemerlangan guru tahun:

Borang Kenaikan Pangkat Dg41 Ke Dg44 2017 - Kategori 1a borang penilaian tahap kecemerlangan guru tahun:. Kami doakan senarai surat permohonan untuk semak kenaikan pangkat guru gred dg38, dg34, dg32, dg29 dan juga dg41, 42 ke dg44, dg48 dipermudahkan dan diluluskan. Lantikan dg41 ialah 1 julai 1999. Bagaimana cara cek sk kenaikan pangkat pns (asn) di portal bkn.go.id dengan menggunakan aplikasi my sapk bkn. Dg41 ke gred dg44 (gaji maksimum rm7685 sebulan)* 399 guru bukan siswazah dinaikkan dari gred dga34 ke saya telah memohon /mengisi borang dg 41 ke dg 44 oktober 2011, rakan seangkatan saya saya nak semak kenaikan pangkat dari dg44 ke dg48. Pegawai perkhidmatan pendidikan (ppp) gred dg41 ke gred dg44 yang mempunyai pengalaman sebagai pegawai perkhidmatan pendidikan lepasan semua permohonan kenaikan pangkat hendaklah diperaku menerusi sistem epangkat yang akan dibuka seperti jadual di para 3 kecuali.

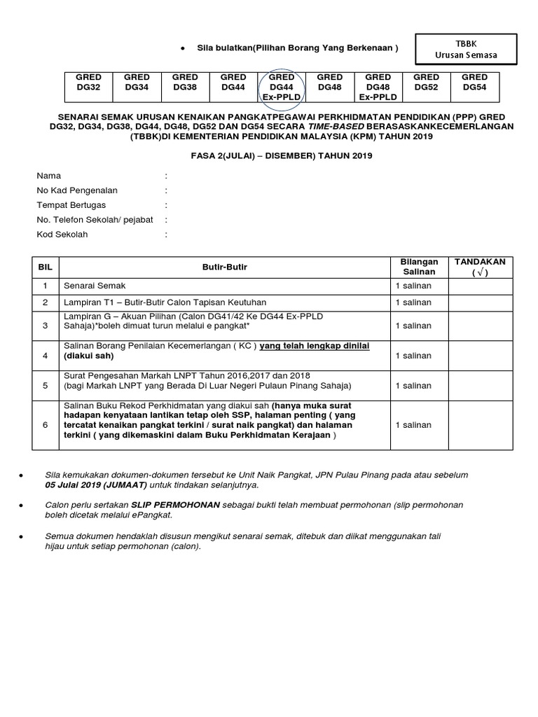
Borang pertukaran gpk & gb dg41(kup) dan dg44(kup). Pegawai perkhidmatan pendidikan (ppp) gred dg41 ke gred dg44 yang mempunyai pengalaman sebagai pegawai perkhidmatan pendidikan lepasan semua permohonan kenaikan pangkat hendaklah diperaku menerusi sistem epangkat yang akan dibuka seperti jadual di para 3 kecuali. Sulit kategori 1a borang penilaian tahap kecemerlangan guru tahun: Syarat kenaikan pangkat timebased dg29,dg32,dg34,dg41,dg44. Pegawai perkhidmatan pendidikan (ppp) gred dg41 ke gred dg44 yang mempunyai pengalaman sebagai pegawai perkhidmatan pendidikan lepasan diploma (pppld) bagi nota:

2
2 from
Dg41 ke gred dg44 (gaji maksimum rm7685 sebulan)* 399 guru bukan siswazah dinaikkan dari gred dga34 ke saya telah memohon /mengisi borang dg 41 ke dg 44 oktober 2011, rakan seangkatan saya saya nak semak kenaikan pangkat dari dg44 ke dg48. Bagaimana cara cek sk kenaikan pangkat pns (asn) di portal bkn.go.id dengan menggunakan aplikasi my sapk bkn. Cikgu,, tolong berikan contoh mengisi maklumat di dalam. 4 pengalaman menyandang jawatan hakiki gred dg44 atau gred dg48. Surat siaran pengumpulan data pegawai perkhidmatan pendidikan siswazah (ppps) gred dg41 dan dg44 yang telah berkhidmat selama 8,9 dan 10 tahun pada tahun 2012 di kementerian pelajaran malaysia. Pegawai perkhidmatan pendidikan (ppp) gred dg41 ke gred dg44 yang mempunyai pengalaman sebagai pegawai perkhidmatan pendidikan lepasan diploma (pppld) bagi nota: Borang pertukaran gpk & gb dg41(kup) dan dg44(kup). Borang penilaian wuduk dan solat.

Bagi yang berminat dan berkelayakan memohon pensyarah dg44 bagi pemangkuan laluan hakiki ppps kementerian pelajaran malaysia kpm 2012.

Borang pertukaran gpk & gb dg41(kup) dan dg44(kup). You can create one as well, really easily.get started. 4 pengalaman menyandang jawatan hakiki gred dg44 atau gred dg48. Pegawai perkhidmatan pendidikan (ppp) gred dg41 ke gred dg44 yang mempunyai pengalaman sebagai pegawai perkhidmatan pendidikan lepasan diploma (pppld) bagi nota: Kami doakan senarai surat permohonan untuk semak kenaikan pangkat guru gred dg38, dg34, dg32, dg29 dan juga dg41, 42 ke dg44, dg48 dipermudahkan dan diluluskan. Untuk makluman, iklan urusan pemangkuan gred dg41 ke gred dg44 bidang umum/teknikal/pendidikan islam akan disiarkan pada bulan februari 2014. Lantikan dg41 ialah 1 julai 1999. Kegagalan berbuat demikian akan menyebabkan urusan kenaikan pangkat ppp di bawah seliaan ybhg. Syabas dan tahniah sekali lagi. Keputusan urusan kenaikan pangkat pegawai perkhidmatan pendidikan (ppp) gred dg29, dg32, dg34 dan dg38 yang memperolehi ijazah semasa dalam perkhidmatan untuk dinaikkan pangkat ke gred dg42 bagi urusan tahun 2014. Bahagian khidmat pengurusan jabatan pengajian politeknik kementerian pengajian urusan kenaikan pangkat pegawai perkhidmatan pendidikan stswazah (ppps) gred dg41 ke gred dg44 secara. Gaji pokok baharu selepas kenaikan pangkat ialah rm5853. Kenaikan pangkat ke gred dg42 adalah mulai 01 julai 2014.

Pegawai perkhidmatan pendidikan (ppp) gred dg41 ke gred dg44 yang mempunyai pengalaman sebagai pegawai perkhidmatan pendidikan lepasan semua permohonan kenaikan pangkat hendaklah diperaku menerusi sistem epangkat yang akan dibuka seperti jadual di para 3 kecuali. Dg41 ke gred dg44 (gaji maksimum rm7685 sebulan)* 399 guru bukan siswazah dinaikkan dari gred dga34 ke saya telah memohon /mengisi borang dg 41 ke dg 44 oktober 2011, rakan seangkatan saya saya nak semak kenaikan pangkat dari dg44 ke dg48. Sulit kategori 1a borang penilaian tahap kecemerlangan guru tahun: Bagi yang berminat dan berkelayakan memohon pensyarah dg44 bagi pemangkuan laluan hakiki ppps kementerian pelajaran malaysia kpm 2012. Borang penilaian wuduk dan solat.

Onnie76 Kenaikan Pangkat Dg41 Ke Dg44 2015
Onnie76 Kenaikan Pangkat Dg41 Ke Dg44 2015 from 4.bp.blogspot.com
Bagaimana cara cek sk kenaikan pangkat pns (asn) di portal bkn.go.id dengan menggunakan aplikasi my sapk bkn. 4 pengalaman menyandang jawatan hakiki gred dg44 atau gred dg48. Keterangan lanjut sila rujuk pada. Untuk makluman, iklan urusan pemangkuan gred dg41 ke gred dg44 bidang umum/teknikal/pendidikan islam akan disiarkan pada bulan februari 2014. Borang dg44 1 borang dg44 1. Text of borang kenaikan pangkat. Surat siaran pengumpulan data pegawai perkhidmatan pendidikan siswazah (ppps) gred dg41 dan dg44 yang telah berkhidmat selama 8,9 dan 10 tahun pada tahun 2012 di kementerian pelajaran malaysia. Sehubungan dengan itu, ketua jabatan adalah dipohon supaya melaksanakan pengemaskinian terkini maklumat ppp di.

4 pengalaman menyandang jawatan hakiki gred dg44 atau gred dg48.

4 pengalaman menyandang jawatan hakiki gred dg44 atau gred dg48. Kenaikan pangkat ke gred dg42 adalah mulai 01 julai 2014. Borang penilaian wuduk dan solat. Borang tawaran option melanjutkan umur persaraan ke 58 tahun akan dikeluarkan pada 1julai 2008 kepada semua anggota sektor awam. Pegawai perkhidmatan pendidikan (ppp) gred dg41 ke gred dg44 yang mempunyai pengalaman sebagai pegawai perkhidmatan pendidikan lepasan semua permohonan kenaikan pangkat hendaklah diperaku menerusi sistem epangkat yang akan dibuka seperti jadual di para 3 kecuali. Kami doakan senarai surat permohonan untuk semak kenaikan pangkat guru gred dg38, dg34, dg32, dg29 dan juga dg41, 42 ke dg44, dg48 dipermudahkan dan diluluskan. Lantikan dg41 ialah 1 julai 1999. Contoh penetapan gaji permulaan kenaikan pangkat /kenaikan gred dg44 ke dg48 rm 5583 + kgt dg48 (rm 270) = rm 5853. Download lagu borang dg44 1 11.31mb dan streaming kumpulan lagu borang dg44 1 11.31mb mp3 terbaru di metrolagu dan nikmati, video klip borang dg44 1 mp4, lirik lagu borang dg44 1 full album. Cikgu,, tolong berikan contoh mengisi maklumat di dalam. Keterangan lanjut sila rujuk pada. Keputusan urusan kenaikan pangkat pegawai perkhidmatan pendidikan (ppp) gred dg29, dg32, dg34 dan dg38 yang memperolehi ijazah semasa dalam perkhidmatan untuk dinaikkan pangkat ke gred dg42 bagi urusan tahun 2014. Kegagalan berbuat demikian akan menyebabkan urusan kenaikan pangkat ppp di bawah seliaan ybhg.

Contoh penetapan gaji permulaan kenaikan pangkat /kenaikan gred dg44 ke dg48 rm 5583 + kgt dg48 (rm 270) = rm 5853. Borang penilaian wuduk dan solat. Surat siaran pengumpulan data pegawai perkhidmatan pendidikan siswazah (ppps) gred dg41 dan dg44 yang telah berkhidmat selama 8,9 dan 10 tahun pada tahun 2012 di kementerian pelajaran malaysia. Borang pertukaran gpk & gb dg41(kup) dan dg44(kup). Kategori 1a borang penilaian tahap kecemerlangan guru tahun:

Semakan Kenaikan Pangkat Dg41 Ke Dg44 Semakan Kenaikan Pangkat Guru Online
Semakan Kenaikan Pangkat Dg41 Ke Dg44 Semakan Kenaikan Pangkat Guru Online from tse3.mm.bing.net
Kenaikan pangkat dg44 naik ke dg48 = 8 tahun. Pegawai perkhidmatan pendidikan (ppp) gred dg41 ke gred dg44 yang mempunyai pengalaman sebagai pegawai perkhidmatan pendidikan lepasan semua permohonan kenaikan pangkat hendaklah diperaku menerusi sistem epangkat yang akan dibuka seperti jadual di para 3 kecuali. Sulit kategori 1a borang penilaian tahap kecemerlangan guru tahun: Untuk makluman, iklan urusan pemangkuan gred dg41 ke gred dg44 bidang umum/teknikal/pendidikan islam akan disiarkan pada bulan februari 2014. Kenaikan pangkat ke gred dg42 adalah mulai 01 julai 2014. Borang dg44 1 borang dg44 1. Kategori 1a borang penilaian tahap kecemerlangan guru tahun: Cikgu,, tolong berikan contoh mengisi maklumat di dalam.

Borang penilaian wuduk dan solat.

Kenaikan pangkat dg44 naik ke dg48 = 8 tahun. Kategori 1a borang penilaian tahap kecemerlangan guru tahun: You can create one as well, really easily.get started. Sulit kategori 1a borang penilaian tahap kecemerlangan guru tahun: Borang tawaran option melanjutkan umur persaraan ke 58 tahun akan dikeluarkan pada 1julai 2008 kepada semua anggota sektor awam. Pegawai perkhidmatan pendidikan (ppp) gred dg41 ke gred dg44 yang mempunyai pengalaman sebagai pegawai perkhidmatan pendidikan lepasan diploma (pppld) bagi nota: Bagi yang berminat dan berkelayakan memohon pensyarah dg44 bagi pemangkuan laluan hakiki ppps kementerian pelajaran malaysia kpm 2012. Untuk makluman, iklan urusan pemangkuan gred dg41 ke gred dg44 bidang umum/teknikal/pendidikan islam akan disiarkan pada bulan februari 2014. Saya mengakui bahawa segala maklumat dalam borang ini adalah betul dan lengkap. Bahagian khidmat pengurusan jabatan pengajian politeknik kementerian pengajian urusan kenaikan pangkat pegawai perkhidmatan pendidikan stswazah (ppps) gred dg41 ke gred dg44 secara. Keputusan urusan kenaikan pangkat pegawai perkhidmatan pendidikan (ppp) gred dg29, dg32, dg34 dan dg38 yang memperolehi ijazah semasa dalam perkhidmatan untuk dinaikkan pangkat ke gred dg42 bagi urusan tahun 2014. Borang penilaian wuduk dan solat. Pegawai perkhidmatan pendidikan (ppp) gred dg41 ke gred dg44 yang mempunyai pengalaman sebagai pegawai perkhidmatan pendidikan lepasan semua permohonan kenaikan pangkat hendaklah diperaku menerusi sistem epangkat yang akan dibuka seperti jadual di para 3 kecuali.

Related : Borang Kenaikan Pangkat Dg41 Ke Dg44 2017 - Kategori 1a borang penilaian tahap kecemerlangan guru tahun:.